“韦神”出题,初二学生给出标准答案!
“韦神”出题,初二学生给出标准答案!
近日,北京大学北京国际数学研究中心推出的一道数学题,获得了数学爱好者的广泛关注。
出题的是北京大学数学科学学院研究员,第 49 届、第 50 届国际数学奥林匹克竞赛满分金牌得主韦东奕。
一起来看看 " 韦神 " 出的这道题吧!
题目

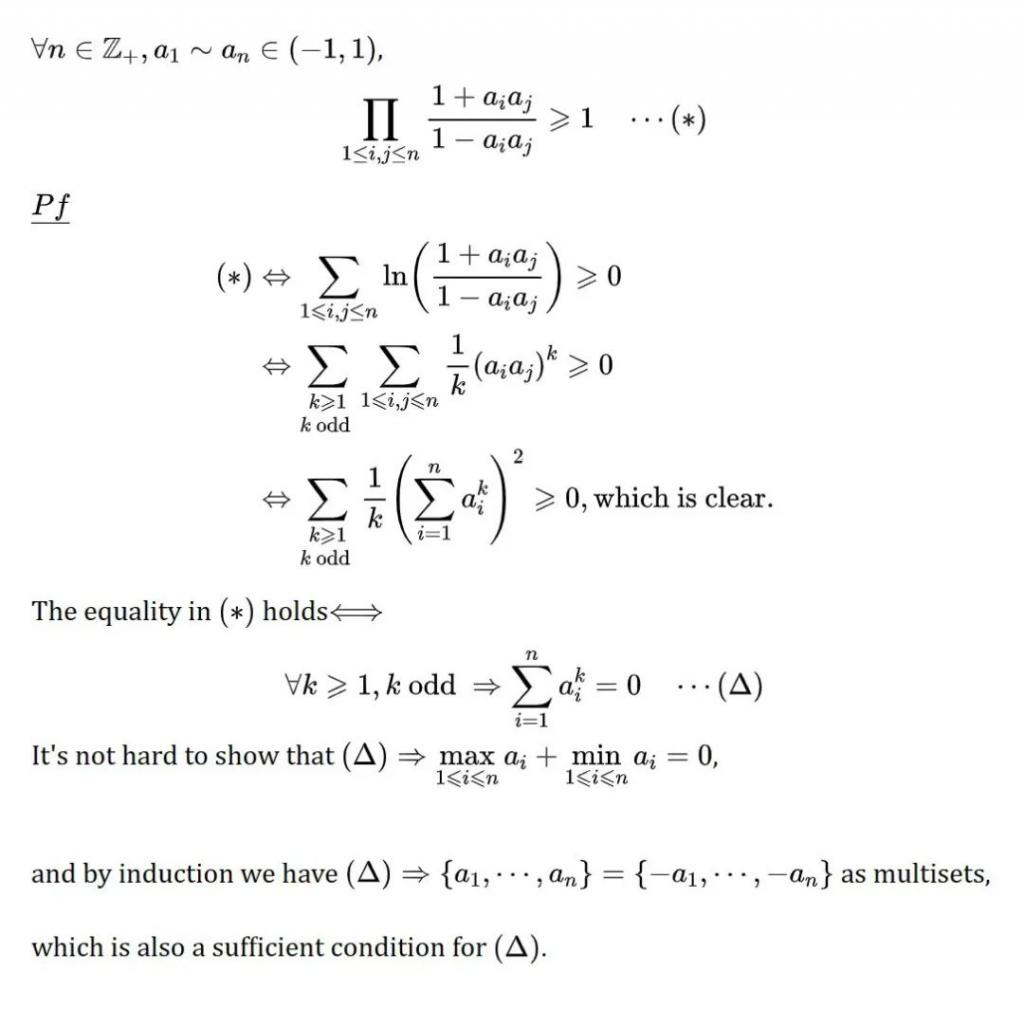
截至目前,已有近百位读者提交了解答。出题人韦东奕从中挑选了三份作为 " 较好的解答举例 "。据韦东奕介绍,本题的解答线索只有一个,因此他挑选出来的三份解答相似度高,均可以作为标准答案来使用。
特别是其中有一位初中二年级的同学,给出了简洁、完备的答案,令人欣喜。
较好的解答案例
解答 1 答题人来自国内某大学


解答 2 答题人来自国内某中学

解答 3 答题人来自海外某大学

网友评论




来源|北京大学 ID:iPKU1898
标签:
